Назад

Алгебраическая задача: решите неравенство

Задача

Решите неравенство   .

Решение

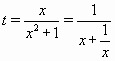
  1) Заметим, что  x ≠ 0  и  .  Так как  |x + 1/x| ≥ 2,  то  |t| ≤ ½ < π/2.  Следовательно, аргумент t на единичной окружности лежит в I или в IV координатной четверти.

  2) Если  x > 0,  то  0 < t ≤ ½,  то есть t лежит в I четверти, поэтому  sin t > 0  и  cos t > 0.  Кроме того,  1/t > 0,  значит,  sin t + 1/t cos t > 0.  Таким образом, при всех  x > 0  исходное неравенство верно.

  3) Если  x > 0,  то  –1/2 ≤ t < 0,  то есть t лежит в IV четверти, поэтому  sin t < 0  и  cos t > 0.  1/t < 0,  значит,  sin t + 1/t cos t < 0.  Таким образом, при всех

x < 0  исходное неравенство неверно.

Ответ

(0, +∞).

Чтобы оставлять комментарии, войдите или зарегистрируйтесь

Комментариев нет