Задание олимпиады: неравенства и доказательства
Задача
Докажите, что если а < 1, b < 1 и a + b ≥ 0,5, то (1 – a)(1 – b) ≤ 9/16.
Решение
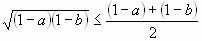
Из условия задачи следует, что 1 – а ≥ 0 и 1 – b ≥ 0. Тогда по неравенству Коши: 
.
Возведя в квадрат, получим требуемое неравенство.
Ответ
Ответ задачи отсутствует
Чтобы оставлять комментарии, войдите или зарегистрируйтесь
Комментариев нет