Назад

Олимпиадная задача: доказательство неравенства для многочленов, 10-11 класс, Богданов И. И.

Задача

Каждые два из действительных чисел a1, a2, a3, a4, a5 отличаются не менее чем на 1. Оказалось, что для некоторого действительного k выполнены равенства     Докажите, что  k² ≥ 25/3.

Решение

  Без ограничения общности можно считать, что  a1 < ... < a5.  По условию,  ai+1ai ≥ 1  при всех  i = 1, 2, 3, 4.  Значит,  aj – ai ≥ j – i  при всех

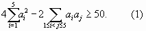
1 ≤ i < j ≤ 5.  Возведём каждое из полученных неравенств в квадрат и сложим. Получим

  то есть     С другой стороны, по условию     Складывая (1) и (2), получаем     откуда  6k² ≥ 50.

Ответ

Ответ задачи отсутствует

Чтобы оставлять комментарии, войдите или зарегистрируйтесь

Комментариев нет