Назад

Олимпиадная задача по тригонометрии и индукции: возможно ли получить 2010 из 1?

Задача

Можно ли, применяя к числу 1 функции sin, cos, tg, ctg, arcsin, arccos, arctg, arcctg в некотором порядке, получить число 2010? (Каждую функцию можно использовать сколько угодно раз.)

Решение

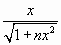
Пусть   f(x) = ctg (arctg x) = 1/x,   g(x) = sin (arctg x) =  .   По индукции проверим, что  gn(x) = g(gn–1(x)) =  .

Взяв  n = 2010² – 1,  получим что   gn(1) = 1/2010,  откуда  f(gn(1)) = 2010.

Ответ

Можно.

Чтобы оставлять комментарии, войдите или зарегистрируйтесь

Комментариев нет