Назад

Олимпиадная задача: функция одной переменной и непрерывность для 9–11 классов

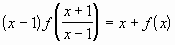
Задача

Функция  f(x) определена для всех x, кроме 1, и удовлетворяет равенству:  .  Найдите  f(–1).

Решение

Подставим в данное равенство значения  x = 0  и  x = –1.  Получим:  .  Следовательно,  2f(–1) = –1 + f(–1),  то есть  f(–1) = –1.

Ответ

–1.

Чтобы оставлять комментарии, войдите или зарегистрируйтесь

Комментариев нет