Назад

Олимпиадная задача по планиметрии для 8-11 классов: четырёхугольник, точки пересечения и параллелограмм

Задача

Дан четырёхугольник ABCD, противоположные стороны которого пересекаются в точках P и Q. Две прямые, проходящие через эти точки, пересекают стороны четырёхугольника в четырёх точках, являющихся вершинами параллелограмма. Докажите, что центр этого параллелограмма лежит на прямой, соединяющей середины диагоналей ABCD.

Решение

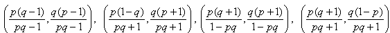
Аффинным преобразованием переведём параллелограмм в квадрат и рассмотрим систему координат, оси которой совпадают с диагоналями квадрата. Будем считать, что стороны четырёхугольника пересекают оси координат в точках  (±1, 0),  (0, ±1),  а точки P, Q имеют координаты  (p, 0)  и  (0, q)  соответственно. Тогда стороны четырёхугольника лежат на прямых с уравнениями  x/p ± y = 1,  ± x + y/q = 1;  вершины имеют координаты   ,   и нетрудно видеть, что прямая, соединяющая середины диагоналей, проходит через начало координат.

Ответ

Ответ задачи отсутствует

Чтобы оставлять комментарии, войдите или зарегистрируйтесь

Комментариев нет