Олимпиадная задача: Построение графика y = 3x + |5x − 10| для 7-8 класса
Задача
Постройте график.Постройте график функцииy= 3x+ |5x− 10|.
Решение
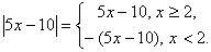
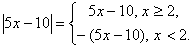
Находим корень уравнения 5x−10 = 0 — этоx = 2. Используя определение абсолютной величины, имеем

1) Приx< 2, получимy= 3x− 5x+ 10;y= −2x+ 10.
2) Приx≥ 2, получимy= 3x+ 5x− 10;y= 8x− 10.

Ответ
Ответ задачи отсутствует
Чтобы оставлять комментарии, войдите или зарегистрируйтесь
Комментариев нет