Задача по олимпиадной математике: уравнение с целыми положительными ре
Задача
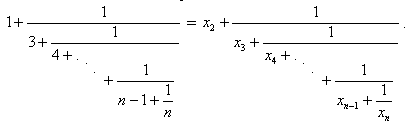
Решить в целых положительных числах уравнение

Решение
Выражение в левой части больше ½, поэтому x1 < 2, а значит, x1 = 1. Пусть

то есть 1/x= 1 +a. Таким образом,

Ответ
x1 = 1, x2 = 1, x3 = 3, x4 = 4, ..., xn = n.
Чтобы оставлять комментарии, войдите или зарегистрируйтесь
Комментариев нет