Назад

Задание олимпиады: Алгебраическая система решений

Задача

Докажите, что для любых натуральных a1, a2, ..., ak таких, что , у уравнения не больше чем a1a2...ak решений в натуральных числах. ([x] – целая часть числа x, т. е. наибольшее целое число, не превосходящее x.)

Решение

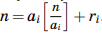
Обозначим . Предположим, что натуральное число n является решением уравнения из условия задачи. Пусть ri – это остаток от деления n на ai, иными словами, . Тогда откуда.Таким образом, при заданном наборе чисел (r1, ..., rk), удовлетворяющих условиям 0 ≤ ri < ai, может быть не более одного натурального решения n с таким набором остатков. Всего таких наборов ровно a1a2...ak, поэтому и количество решений уравнения не больше a1a2...ak.

Ответ

Ответ задачи отсутствует

Чтобы оставлять комментарии, войдите или зарегистрируйтесь

Комментариев нет