Олимпиадная задача о вероятности двойняшек в Швамбрании
Задача
Вероятность рождения двойняшек в Швамбрании равна p, тройняшки в Швамбрании не рождаются.
а) Оцените вероятность того, что встреченный на улице швамбранец – один из пары двойняшек?
б) В некоторой швамбранской семье трое детей. Какова вероятность того, что среди них есть пара двойняшек?
в) В школах швамбранских двойняшек обязательно зачисляют в один класс. Всего в Швамбрании N первоклассников.
Каково матожидание числа пар двойняшек среди них?
Решение
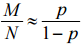
а) Пусть по улицам Швамбранских городов и сёл ходят M
пар двойняшек и N "одиночек". Тогда
, откуда
. Встретим случайного швамбранца. Он является одним из двойняшек с вероятностью
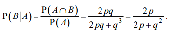
б) Искомая вероятность условная. Нарисуем граф (красные ребра означают рождение двойняшек, синие – одиночек). Граф можно сколь угодно долго продолжать вниз, но нас интересует только тот фрагмент, который учитывает все возможные способы появления на свет трёх детей (см. рис.). Возле каждого ребра подпишем вероятность. Изобразим криволинейной областью событие A = {Трое детей}. В это событие попадает три вершины, то есть три
элементарных события с суммарной вероятностью 2pq + q³.

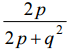
в) Как мы знаем, вероятность того, что случайно взятый первоклассник
является одним из пары двойняшек, равна 2p/p+1. Введем случайную величину Ik – индикатор двойняшки: Ik = 1, если k-й первоклассник – один из пары двойняшек и Ik = 0, если k-й
первоклассник – одиночка. EIk = 2p/p+1. Общее число S пар первоклассников-двойняшек равно ½ (I1 + I2 + ... +
IN).
Следовательно, 
Ответ
а)
; б)
;
в)
.
Чтобы оставлять комментарии, войдите или зарегистрируйтесь