Пёс Патрик и тапочки: как избежать расстройства
Задача
Каждый день пёс Патрик сгрызает одну тапочку из имеющегося дома запаса. Строго с вероятностью 0,5 Патрик хочет сгрызть левую тапочку и с вероятностью 0,5 – правую. Если желаемой тапочки нет, Патрик расстраивается. Сколько пар одинаковых тапочек нужно купить, чтобы с вероятностью не меньше чем 0,8 Патрик не расстраивался целую неделю (7 дней)?
Решение
Пусть за неделю Патрик захочет съесть S левых и 7 – S правых тапочек. Нам нужно найти такое k, что выполняется неравенство P(S ≤ k ∩ 7 – S ≤ k) ≥ 0,8. Запишем иначе событие в скобках: P(7 – k ≤ S ≤ k). Ясно, что 7 – k ≤ k, то есть k ≥ 4.
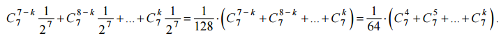
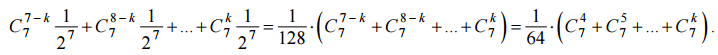
Вероятность в левой части неравенства равна сумме
Значит, 
Заметим, что
поэтому уже сумма
. Значит, наименьшее k равно 5.
Ответ
5 пар.
Чтобы оставлять комментарии, войдите или зарегистрируйтесь