Задание по комбинаторной геометрии и двумерной вероятности
Задача
Муха ползёт из начала координат. При этом муха двигается только по линиям целочисленной сетки вправо или вверх (монотонное блуждание). В каждом узле сетки муха случайным образом выбирает направление дальнейшего движения: вверх или вправо. Найдите вероятность того, что в какой-то момент:
а) муха окажется в точке (8, 10);
б) муха окажется в точке (8, 10), по дороге пройдя по отрезку, соединяющему точки (5,6) и (6. 6);
в) муха окажется в точке (8, 10), пройдя внутри круга радиуса 3 с центром в точке (4, 5).

Решение
а) Муха может достичь точки (8, 10) ровно за 18 шагов. Поэтому достаточно рассмотреть первые 18 шагов мухи. Общее число возможных путей, состоящих из 18 шагов равно 218.
Чтобы попасть в точку (8, 10) из этих 18 шагов, муха должна ровно 8 шагов сделать вправо и ровно 10 вверх. При этом порядок, в котором чередуются шаги вправо и вверх, не важен. Значит, число путей, приводящих в точку (8, 10), равно
.
Таким образом, вероятность попасть в эту точку равна
. б) Число путей, приводящих в точку (5, 6), равно
. В точку (6, 6) из точки (5, 6) ведёт только один путь. Затем муха должна пройти из точки (6, 6) в точку (8, 10), и здесь у неё
возможных путей. Значит, общее число путей, которые удовлетворяют условию задачи, равно
.
Общее число путей из 18 шагов равно 218. Значит, вероятность попасть в точку (8, 10), по дороге пройдя точки (5, 6) и (6, 6), равна
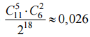
. в) Муха пройдёт внутри круга в том и только том случае, когда она пройдёт через одну из пяти отмеченных точек (см. рис.).

Искомая вероятность равна
Ответ
а)
;
б)
;
в)
.
Чтобы оставлять комментарии, войдите или зарегистрируйтесь