Назад

Доказательство равенства для произвольных a, b, c

Задача

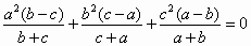
Докажите, что для произвольных a, b, с равенство     выполнено тогда и только тогда, когда выполнено равенство   .

Решение

  Нетрудно проверить, что     (*).

Поэтому если   ,   то и   .

  Обратно, пусть   .   При  a + b + c ≠ 0,  равенство     сразу получается из равенства (*). Если же  a + b + c = 0,  то   .

Ответ

Ответ задачи отсутствует

Чтобы оставлять комментарии, войдите или зарегистрируйтесь

Комментариев нет