Назад

Олимпиадная задача о дробях и суммах

Задача

При всяком ли натуральном  n > 2009  из дробей    можно выбрать две пары дробей с одинаковыми суммами?

Решение

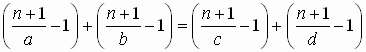
Каждая из данных дробей имеет вид  ,  где  1 ≤ a ≤ n.  Стало быть, достаточно найти такие различные натуральные числа a, b, c и d, не большие 2009, для которых  .  Убрав минус единицы и поделив затем на  n + 1,  получим равносильное равенство  .  Осталось подобрать удовлетворяющие ему дроби. Это можно сделать, взяв любое равенство двух сумм различных натуральных слагаемых, НОК которых не больше 2009, и поделив его на этот НОК. Например, поделив равенство  1 + 4 = 2 + 3  на 12, получим  .

Ответ

При всяком.

Чтобы оставлять комментарии, войдите или зарегистрируйтесь

Комментариев нет