Назад

Комбинаторная задача — сколько разных слов из слова “МАТЕМАТИКА”

Задача

Слово – любая конечная последовательность букв русского алфавита. Выясните, сколько различных слов можно составить из слов

  а) ВЕКТОР;

  б) ЛИНИЯ;

  в) ПАРАБОЛА;

  г) БИССЕКТРИСА;

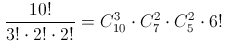
  д) МАТЕМАТИКА.

Решение

  а) Так как все буквы слова различны, то всего можно получить 6! слов (см. задачу 160371).   б) Первый способ. В этом слове две буквы И, а все остальные буквы разные. Временно будем считать разными и буквы И, обозначив их через И1 и И2. При этом предположении получится  5! = 120  разных слов. Однако те слова, которые получаются друг из друга перестановкой букв И1 и И2, на самом деле одинаковы. Таким образом, полученные 120 слов разбиваются на пары одинаковых. Поэтому разных слов всего  120 : 2 = 60.   Второй способ. Два места для буквы И можно выбрать    = 10 способами. Остальные 3 буквы можно переставлять по 3 оставшимся местам 3! способами. Итого  6·10 = 60 слов.   в) Аналогично б) получим слов.   г) Первый способ. В этом слове три буквы С и две буквы И. Считая все буквы различными, получаем  11! слов. Отождествляя слова, отличающиеся лишь перестановкой букв И, но не С, получаем    слов. Отождествляя теперь слова, отличающиеся перестановкой букв С, получаем окончательный результат  .   Второй способ. Три места для буквы С можно выбрать    способами, 2 места из 8 оставшихся для буквы И    способами. Осталось 6 букв на 6 мест. Всего получаем    слов.   д) Аналогично г) получаем    слов.

Ответ

а)  6! = 720;   б) 60;   в) 6720;   г)  11! : 12 = 3326400;   д)  10! : 24 = 1511200  слов.

Чтобы оставлять комментарии, войдите или зарегистрируйтесь

Комментариев нет