Олимпиадная задача по многочленам и графикам для 11 класса от Косухина О. Н.
Задача
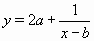
Для заданных значений a, b, c и d
оказалось, что графики функций
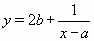
и
имеют ровно одну общую точку. Докажите, что графики функций
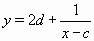
и
также имеют ровно одну общую точку.
Решение
Решение 1: Графики
и
центрально симметричны относительно точки
и, следовательно, имеют ровно одну общую точку тогда и только тогда, когда
при
. Это условие эквивалентно равенству (a – c)(b – d) = 2. Аналогично доказывается, что это равенство также эквивалентно тому условию, что центрально симметричные относительно точки
графики
и
имеют ровно одну общую точку.
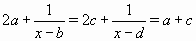
Решение 2: Уравнение
имеет ровно одно решение. Нетрудно видеть, что такого не может быть при a = c или b = d.
При a ≠ c и b ≠ d это уравнение эквивалентно квадратному уравнению 2(a – c)x² – 2(a – c)(b + d)x + 2(a – c)bd + (b – d) = 0 (ни b, ни d не могут являться его корнями при этих условиях). Оно имеет единственный корень тогда и только тогда, когда равен нулю его дискриминант, то есть при
4(a – c)²(b + d)² – 8(a – c)(2(a – c)bd + (b – d)) = 0.
Преобразуя и учитывая то, что a – c ≠ 0 и b – d ≠ 0 , получаем (a – c)(b – d) = 2. Аналогично доказывается, что последнее равенство эквивалентно тому, что уравнение
имеет ровно одно решение.
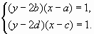
Решение 3: Точка с координатами (x, y)
является общей точкой графиков
и
тогда и только тогда, когда пара чисел
(x, y) является решением системы


и
имеют единственную общую точку.
Ответ
Ответ задачи отсутствует
Чтобы оставлять комментарии, войдите или зарегистрируйтесь