Назад

Олимпиадная задача: решение уравнения с корнями и степенями для 9-11 классов

Задача

Решите уравнение:  .

Решение

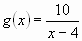
  Так как левая, а значит, и правая, часть уравнения принимает только положительные значения, то  x > 4.  На промежутке  (4, +∞)  функция

  возрастает, а функция    убывает, поэтому уравнение  f(x) = g(x)  имеет не более одного корня.

  Осталось заметить, что  f(5) = g(5).

Ответ

x = 5.

Чтобы оставлять комментарии, войдите или зарегистрируйтесь

Комментариев нет