Назад

Олимпиадная задача по теории чисел: разрезание сыра на равные части — Шаповалов А. В.

Задача

  а) Есть кусок сыра. Разрешается выбрать любое положительное (возможно, нецелое) число  a ≠ 1,  и разрезать этот кусок в отношении  1 : a  по весу, затем разрезать в том же отношении любой из имеющихся кусков, и т. д. Можно ли действовать так, что после конечного числа разрезаний весь сыр удастся разложить на две кучки равного веса?

  б) Тот же вопрос, но выбирается положительное рациональное  a ≠ 1.

Решение

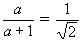
  а) Разрезание в отношении  1 : a  равносильно отрезанию доли   .   Выберем такое a, что   ,   и разрежем во второй раз наибольший из кусков. Тогда вес самого большого из полученных кусков равен половине веса всего сыра.   б) Допустим противное: после нескольких разрезаний удалось разбить все куски на две равные кучки. Без ограничения общности можно считать, что мы резали на каждом шагу все имеющиеся куски. После k шагов получились куски, чьи веса относятся как  1 : a : a² : ... : ak,  причём 1 и ak соответствует ровно по одному куску. Подставив вместо a несократимую дробь m/n и умножив все веса на подходящую константу, получим целые веса  nk, mnk–1, ..., mkm и n взаимно просты, поэтому вес одной кучки кратен m, а другой, где есть кусок веса nk, не кратен. Противоречие.

Ответ

а) Можно.   б) Нельзя.

Чтобы оставлять комментарии, войдите или зарегистрируйтесь

Комментариев нет