Олимпиадная задача по математике: оптимальный выбор коробок с конфетами (9-11 класс)
Задача
Все имеющиеся на складе конфеты разных сортов разложены по n коробкам, на которые установлены цены в 1, 2, ..., n у. е. соответственно. Требуется купить такие k из этих коробок наименьшей суммарной стоимости, которые содержат заведомо не менее k/n массы всех конфет. Известно, что масса конфет в каждой коробке не превосходит массы конфет в любой более дорогой коробке.
а) Какие коробки следует купить при n = 10 и k = 3 ?
б) Тот же вопрос для произвольных натуральных n ≥ k.
Решение
Пусть a1 ≤ a2 ≤ ... ≤ an – массы конфет в коробках стоимостью в 1, 2, ..., n у. е. соответственно, а n1 < n2 < ... < nk – номера тех коробок, которые нужно купить.
1. Обозначим mj = jn/k (j = 1, ..., k) и докажем, что для искомого набора номеров должны быть выполнены неравенства nj ≥ mj. (*)
Действительно, предположим, что nj < mj для некоторого j.
Тогда, например, в случае a1 = ... = anj = nj < anj + 1 = ... = an = n + nj
получаем
a1 + ... + an = nj2 + (n – nj)(n + nj) = n2,
an1 + ... + ank = (k – j)(n + nj) + jnj < (k – j)n + nj = kn,
то есть нарушено требование задачи.
2. Пусть теперь все неравенства (*) верны. Докажем, что тогда требование задачи выполнено.
а) При n = 10, k = 3 имеем n1 ≥ 10/3, n2 ≥ 20/3, n1 ≥ 10, т.е. достаточно взять 4-ю, 7-ю и 10-ю коробки. И действительно:

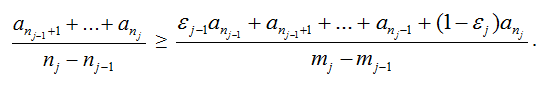
(добавив к группе чисел число, меньшее их всех, мы уменьшим среднее арифметическое). б) Положим n0 = m0 = a0 = 0 и возьмём целые числа nj = mj + εj, где 0 ≤ ε < 1. Рассмотрим ступенчатую функцию, задаваемую равенствами f(x) = aj при j – 1 < x ≤ j. Поскольку функция не убывает, её среднее значение на промежутке уменьшается, когда оба конца промежутка сдвигают влево (даже с изменением длины промежутка). (Среднее значение – это площадь под графиком функции на заданном промежутке, деленная на длину этого промежутка.) В частности,

Поэтому

так как все знаменатели равны n/k, nk = mk = n, εk = 0.
Итак, стоимость набора из k коробок, удовлетворяющего требованию задачи, будет наименьшей для наименьших целых чисел nj, удовлетворяющих неравенствам (*).
Ответ
Коробки стоимостью а) 4, 7 и 10 у. е.; б)
у. е.
Чтобы оставлять комментарии, войдите или зарегистрируйтесь