Сумма чисел при вычеркивании строк и столбцов в квадратной таблице
Задача
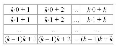
Числа 1, 2, ..., k² расположены в квадратную таблицу

Решение
Запишем данную таблицу в виде

Ответ
½ k(k² + 1)).
Чтобы оставлять комментарии, войдите или зарегистрируйтесь
Комментариев нет