Назад

Математическая задача на математическое ожидание совпадений карт

Задача

На столе разложена колода игральных карт (например, в ряд). Поверх каждой карты положили карту другой колоды. Некоторые карты, возможно, совпали. Найдите:

  а) математическое ожидание числа совпадений;

  б) дисперсию числа совпадений.

Решение

  а) Пронумеруем пары от 1 до N (мы не знаем, сколько их) в том порядке, в каком они лежат на столе. Пусть индикатор Ik равен 1, если в k-й паре оказались две одинаковые карты, и 0, если в k-й паре карты не одинаковы. Очевидно,  P(Ik = 1) = 1/N.  Значит,  EIk = 1/N.

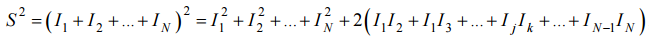
  Пусть S – число пар с совпадением. Оно равно  I1 + I2 + ... + IN.  Следовательно,  ES = EI1 + EI2

  • ... + EIN = N·1/N = 1.   б)  ,  где в скобках стоит сумма попарных произведений всевозможных различных индикаторов.

  Очевидно,    поэтому  .

  Теперь рассмотрим величину IjIk. Она равна 1, если карты совпали и в j-й, и в k-й паре. В j-й паре карты совпадают с вероятностью 1/N. Если это произошло, то вероятность совпадения карт в k-й паре равна 1/N–1. Поэтому  P(IjIk = 1) = 1/N(N–1)  Во всех остальных случаях IjIk = 0. Следовательно,  E(IjIk) = 1/N(N–1).

 Значит,  ES² = N·1/N + N(N – 1)·1/N(N–1) = 1 + 1 = 2,  и, следовательно,  DS = ES² – (ES)² = 2 – 1 = 1.

Ответ

а) 1;  б) 1.

Чтобы оставлять комментарии, войдите или зарегистрируйтесь

Комментариев нет