Назад

Вероятность выпадения орла при бросках монеты

Задача

Найдите вероятность того, что орёл выпадет чётное число раз, в эксперименте, в котором:

  а) симметричную монету бросают n раз;

  б) n раз бросают монету, у которой вероятность выпадения орла при одном бросании равна p  (0 < p < 1).

Решение

  Вероятность того, что орёл выпадет ровно k раз, как известно, равна   ,   где  q = 1 – p  – вероятность выпадения решки. Поэтому событие "Орёл выпал чётное число раз" имеет вероятность  ,  где k – наибольшее чётное число, не превосходящее n.

  Дополнением к этому событию служит событие "Орёл выпал нечётное число раз". Вероятность этого получается аналогично заменой чётных индексов и степеней нечётными:  ,  где m – наибольшее нечётное, не превосходящее n. Разность этих вероятностей:   = (q – p)n.

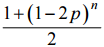
  С другой стороны,  P2 + P1 = 1.  Из полученной системы уравнений находим:   .

  В частности, для симметричной монеты  p = 0,5,  поэтому  P2 = 0,5.

Ответ

а) 0,5;   б)   .

Чтобы оставлять комментарии, войдите или зарегистрируйтесь

Комментариев нет