Вероятность удачных пар носков: задача для школьников
Задача
Вася купил n пар одинаковых носков. В течение n дней Вася не знал проблем: каждое утро брал из шкафа новую пару и носил её целый день. Через n дней Васина мама постирала все носки в стиральной машине и разложила их по парам, как получилось, поскольку, повторим, носки одинаковые. Назовём пару носков удачной, если оба носка в этой паре были на Васе в один и тот же день.
а) Найти вероятность того, что все получившиеся пары удачные.
б) Доказать, что матожидание числа удачных пар больше 0,5.
Решение
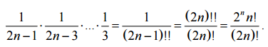
а) Вероятность того, что первая пара оказалась удачной, равна 1/2n–1, поскольку, когда мама взяла первый носок в руки, остался 2n – 1 носок, и только один из них составляет удачную пару с первым. Далее – так же: вероятность того, что вторая пара удачная (при условии, что первая пара удачная) равна 1/2n–3 и т.д. Вероятность того, что все пары удачные, получаем как произведение 
Ответ
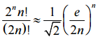
а)
.
Чтобы оставлять комментарии, войдите или зарегистрируйтесь