Назад

Вероятность получения аттестата: сравнение 2011 и 2012 годов

Задача

В Анчурии проходит единый государственный экзамен. Вероятность угадать верный ответ на каждый вопрос экзамена равна 0,25. В 2011 году, чтобы получить аттестат, нужно было ответить верно на три вопроса из 20. В 2012 году Управление школ Анчурии решило, что три вопроса это мало. Теперь нужно верно ответить на шесть вопросов из 40. Спрашивается, если ничего не знать, а просто угадывать ответы, в каком году вероятность получить анчурийский аттестат выше – в 2011 или в 2012?

Решение

  Если выпускник угадывает ответы, ЕГЭ можно рассматривать как схему Бернулли с вероятностью успеха  p = 0,25  и вероятностью неудачи  q = 0,75.  В 2011 году, чтобы сдать экзамен, нужно было правильно ответить, по крайней мере, на три вопроса. Удобнее найти вероятность противоположного события, то есть вероятность ответить менее чем на три вопроса. Она равна сумме вероятностей того, что выпускник ответил на 0, на 1 и на 2 вопроса, то есть   ≈ 0,091;  следовательно, вероятность сдать экзамен приближённо равна 0,909.

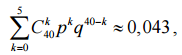
  Аналогично находим, что в 2012 году вероятность провалиться на экзамене равна    а вероятность сдать экзамен приближённо равна 0,957.

Ответ

В 2012 году.

Чтобы оставлять комментарии, войдите или зарегистрируйтесь

Комментариев нет