Математическое ожидание в игре "Что? Где? Когда?"
Задача
В игре "Что? Где? Когда?" разыгрываются 13 конвертов с вопросами от телезрителей. Конверты выбираются по очереди в случайном порядке с помощью волчка. Если знатоки отвечают верно, зарабатывают очко, если неверно – одно очко достается телезрителям. Игра оканчивается, как только одна из команд набрала 6 очков. Предположим, что силы команд Знатоков и Телезрителей равны.
а) Найдите математическое ожидание числа очков, набранных командой Знатоков за 100 игр.
б) Найдите вероятность того, что в следующей игре конверт №5 будет разыгран.
Решение
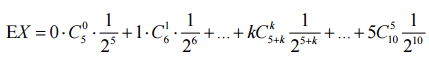
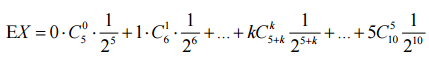
а) Предположим, что за одну игру проигравшая команда заработала kочков. Выигравшая команда заработала 6 очков, поэтому всего было разыграно
6 + k конвертов. При этом за вопрос из последнего конверта очко обязательно получила выигравшая команда, а за остальные 5 + k вопросов очки могла получить как та, так и другая команда с вероятностью ½. Поэтому математическое ожидание случайной величины
X "число очков, заработанных проигравшей командой за одну игру" равно 
Заметим, что
, в частности,
. Поэтому
.
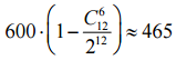
В первой скобке – сумма вероятностей того, что при игре до 7 побед
проигравшая команда заработает k – 1 очко (1 ≤
k ≤ 7); она равна 1. Следовательно, 
Прибавляем 6, чтобы получить общую сумму очков (заработанных обеими командами), делим на два, чтобы получить только ожидание суммы очков знатоков (ведь силы равны):
. Теперь осталось умножить результат на 100, поскольку прошло 100 игр. б) Введём индикаторы ξk, 1 ≤
k ≤ 13: ξk = 1, если конверт с номером k был разыгран, и 0 в противном случае.
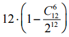
Заметим, что сумма очков, заработанных обеими командами за одну игру, равна сумме всех ξk. Ожидание суммы очков, заработанных обеими командами, известно из а):
. Все конверты равноправны, поэтому найденное число делим на 13:
. Но Eξk
– это и есть вероятность розыгрыша k-го конверта.
Ответ
а)
;
б)
.
Чтобы оставлять комментарии, войдите или зарегистрируйтесь