Назад

Неравенство с тригонометрией: задача по олимпиадной математике

Задача

Найдите все такие a и b, что    и при всех x выполнено неравенство  |a sin x + b sin 2x| ≤ 1.

Решение

  Пусть  f(x) = a sin x + b sin 2x.

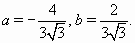
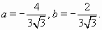
  Рассмотрим случай, когда числа a и b имеют один знак. В этом случае  |a| + |b| = |a + b|,     Отсюда следует, что  ,  а в точке  x = π/3  функция  f(x) принимает либо свое наибольшее значение 1, либо свое наименьшее значение –1. Значит, точка  x = π/3  является точкой экстремума для функции  f(x). Поэтому  0 = f '(π/3) = a/2b.  Следовательно,  a = 2b,  и учитывая равенство  ,  получаем    или     В случае, когда a и b имеют разные знаки, аналогично получаем     откуда    и  0 = f '(/3) = – a/2b.  Следовательно,  a = –2b,  откуда    или   &nbsp Четыре найденные пары значений удовлетворяют условию задачи. Действительно,  f '(x) = a(cos x ± cos 2x),  где знак в скобках выбирается положительным, если a и b одного знака, и отрицательным иначе. Следовательно, во всех точках экстремума функции  f(x)  имеем  |cos x| = |cos 2x|.  Значит, при таких x выполнено также равенство  |sin x| = |sin 2x|.  Отсюда  |sin x| = 2|sin x||cos x|  и либо  sin x = 0,  либо  |cos x| = ½.  В первом случае

f(x) = 0,  во втором     и     Таким образом, во всех точках экстремума, а следовательно, и на всей прямой  |f(x)| ≤ 1.

Ответ

.

Чтобы оставлять комментарии, войдите или зарегистрируйтесь

Комментариев нет