Математическая задача о числе e и его иррациональности
Задача
Число e определяется равенством
Докажите, что а)
б)
где 0 < rn ≤ 1/n!n;в) e – иррациональное число.
Решение
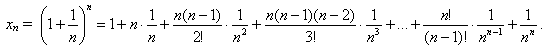
а) Положим

Достаточно доказать, что xn < yn ≤ e при n > 2. Левое неравенство очевидно, так как 
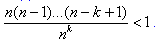
Для доказательства правого заметим, что
при m > n. Переходя к пределу при m → ∞, получаем
б) Из а) следует, что 0 <rn
в) Предположим, что e = m/n, где m и n – натуральные числа. Тогда
где – k – целое число. Противоречие, так как (n – 1)!m – целое число, а k + n!·rn не целое.
Ответ
Ответ задачи отсутствует
Чтобы оставлять комментарии, войдите или зарегистрируйтесь
Комментариев нет