Доказательство соотношения площадей треугольников BKF и ABC — олимпиад
Задача
В выпуклом четырехугольнике АВСD точка Е — середина CD, F — середина АD, K — точка пересечения АС и ВЕ. Докажите, что площадь треугольника BKF в два раза меньше площади треугольника АВС.
Решение
Первый способ. Проведем EF — среднюю линию треугольника ADC
(см. рис. а). Тогда
, так как высоты этих треугольников,
проведенные из вершины F, совпадают. Кроме того, так как (EF) || (AC),
то длины перпендикуляров, опущенных из точки В на прямые EF и AC относятся,
как |BE| : |BK|, поэтому,
.
Перемножив почленно полученные равенства, имеем:
,
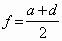
ч. т. д.Второй способ. Пусть a, c, f и d —
длины перпендикуляров, опущенных на прямую BЕ из точек A, C, F и D соответственно
(см. рис. б). Тогда c = d;
.
Следовательно,
, ч. т. д.
![]() |
![]() |
![]() |
| Рис. а | Рис. б | Рис. в |
SΔBСD
и SΔABF =
SΔABD. Кроме того, так как EF — средняя
линия треугольника ADC, то SΔDEF =
SΔEFK =
SΔACD. Следовательно, SΔBKF =
SABCD — SΔABF —
SΔBCE —
SDFKE =
(SΔABD + SΔBCD +
SΔACD) =
SΔABC, ч. т. д.
Ответ
Ответ задачи отсутствует
Чтобы оставлять комментарии, войдите или зарегистрируйтесь


