Олимпиадная задача по стереометрии о сферах и параллелепипеде (10–11 класс)
Задача
В прямоугольном параллелепипеде ABCDA1B1C1D1 четыре числа – длины рёбер и диагонали AC1 – образуют арифметическую прогрессию с положительной разностью d, причём AA1 < AB < BC. Две внешне касающиеся друг друга сферы одинакового неизвестного радиуса R расположены так, что их центры лежат внутри параллелепипеда, причём первая сфера касается граней ABB1A1, ADD1A1, ABCD, а вторая – граней BCC1B1, CDD1C1, A1B1C1D1. Найдите: а) длины рёбер параллелепипеда; б) угол между прямыми CD1 и AC1; в) радиус R.
Решение
P>а) ПустьAA1=t. ТогдаAB = t + d,BC = t + 2d,AC1=t+ 3d. По теореме о квадрате диагонали прямоугольного параллелепипеда
откуда находим, что
. Тогда
,
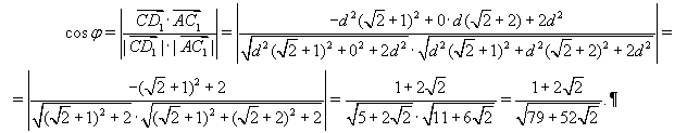
.б) Введём прямоугольную систему координат, направив ось Ox по лучу AB, ось
Oy – по лучу AD, ось Oz – по лучу AA1.
Найдём координаты нужных нам вершин параллелепипеда и векторов: 

Пусть φ – угол между прямыми CD1 и AC1. Тогда
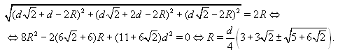
в) Поскольку сферы вписаны в трёхгранные углы с вершинами A и C1 параллелепипеда,
их центры соответственно O и Q имеют координаты O(R;R;R) и
Q(AB – R; BC – R; AA1
– R). Линия центров касающихся сфер проходит через их точку касания P,
поэтому OQ = OP + PQ = 2R, или
Подставляя в это равенство
,
,
, получим уравнение
Центры сфер лежат внутри параллелепипеда, поэтому
. Следовательно, 
Ответ
а)
,
,
;б)
;в)
.
Чтобы оставлять комментарии, войдите или зарегистрируйтесь