Олимпиадная задача по стереометрии для 10-11 класса: треугольник из рёбер многогранника
Задача
Докажите, что у любого выпуклого многогранника найдутся три ребра, из которых можно составить треугольник.
Решение
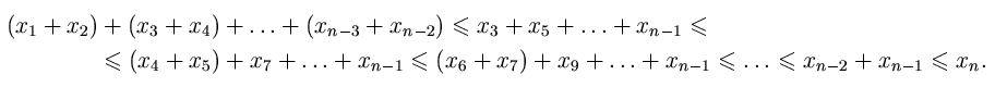
Aлгебраическая лемма. Пусть x1, x2, ..., xn – положительные числа такие, что x1 ≤ x2 , xi – 1 + xi ≤ xi + 1 для всех i = 3, 4, ..., n. Тогда xi1 + ... + xik ≤ xn для любых индексов 1 ≤ i1 < i2 < ... < ik ≤ n – 2.Доказательство. Достаточно доказать, что x1 + ... + x n – 2 ≤ xn. Если n чётно, то

Ответ
Ответ задачи отсутствует
Чтобы оставлять комментарии, войдите или зарегистрируйтесь
Комментариев нет