Назад

Можно ли представить число как сумму квадратов двух натуральных чисел?

Задача

Можно ли представить число в виде суммы квадратов двух натуральных чисел?

Решение

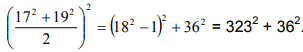
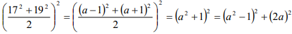
Первый способ. Пусть 18 = a. Тогда данное число можно записать и преобразовать так: . Следовательно, . Второй способ. = 3252 = (13·25)2 = 132·252 = 169·252 = (144 + 25)·252 = (122 + 52)·252 = 122·252 + 52·252 = 3002 + 1252. Получив, что данное число равно 132252, можно продолжить иначе: = 132·252 = 132(202 + 152) = 132·202 + 132·152 = 2602 + 1952. Третий способ. Так как 172 оканчивается цифрой 9, а 192 оканчивается цифрой 1, то число в скобках оканчивается цифрой 5. Значит, данное выражение имеет вид (5k)2, где k – некоторое натуральное число. Тогда положительный ответ на вопрос задачи следует из равенства: (5k)2 = (4k)2 + (3k)2.

Ответ

Ответ задачи отсутствует

Чтобы оставлять комментарии, войдите или зарегистрируйтесь

Комментариев нет